Hinweis:
Falls die Filme in normalen Windows Media Player nicht laufen,
muss man
sich das XviD -Codec noch herunterladen
und installieren
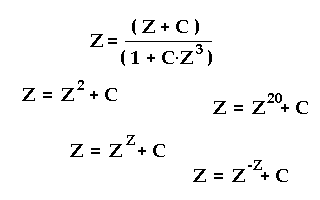
Abschnitt 1: Kurze mathematische Einführung
Abschnitt 2 : Kompensation für Zyklus und Rhythmus
Ob es überhaupt ein Muster mit scharfen Grenzen gibt, hängt vom Aufbau der iterativen Funktion ab.
Mindestens eine Subtraktion muss in der Funktion vorhanden sein, um durch Kompensation von Teilgrößen in wiederkehrende Zyklen zu gelangen. Man beachte, dass Z und C genauso oft negative Komponenten haben können wie positive. Und wenn Z kleiner als Eins ist, verhält sich Z^2 wie sonst ein 1/(Z^2).
Dort, wo keine Kompensation stattfinden kann, bleiben die typischen selbstähnlichen
fraktalen Muster aus. Um
einen Bezug zur Realität zu finden, sollte man mit realen Rückkopplungen
vergleichen. Die Addition der festen Größe C in jeder Rechnungsschleife
kann auch als fester Emmissions- oder Absorptionsbetrag pro Zeiteinheit aufgefasst
werden. Rhythmisches Verhalten ist eine Grundlage von Leben, auch Rhythmen, die uns chaotisch erscheinen, und die erst später oder nie in die Ordnung finden.
Zum Film RingFlügelBlume
Dünne Linien sind schmale Zahlenfenster, wie im Frequenzraum die Linien für
Absorption oder Emission. Oft schachteln sie sich ineinander, wie einzelne Spektrallinien,
die immer feiner aufspalten...
|
Abschnitt 3 : Vielfalt durch Disharmonie mit System
Der schnellste Weg zum Ziel
wurde gestört, immer wieder verhindert, bis sich andere Lösungen ergaben, neue
Lösungen (Bilder 2-4), die nicht mehr drei große
Einzugsbereiche haben, die bis nach Unendlich reichen, sondern viele kleine, in
der Nähe von Null bis 5.
Hier
eine weitere Parallele zum biologischen Leben: Nun
werden diese zahlenmäßig durch den Faktor A gegenseitig miteinander
verkoppelt: Film 'Landung' Engel (78 sek) (Vorschau herunterladen mit Rechtsklick 12 MB)
Der Verkopplungsbetrag A beginnt bei Null und steigt von Bild zu Bild an. Das ist so, also würden sie näher zusammenrücken, oder als würden sie wachsen und sich gegenseitig stärker beeinflussen. Es ähnelt dem Vorgang der wiederholten Zellteilung.
Ohne
Verkopplung entsteht ein vierzackiger Stern. Ab dem Koppelbetrag von 0.1 tauchen
in der Ferne drei neue Bestandteile auf, die sich dem Stern nähern und beim Wert
0.4 mit ihm vereinigen. Das Teil an der Spitze ähnelt einem Hütchen oder
einem Raumschiff, die beiden anderen sehen aus wie geflügelte, engelartige Wesen.
Der Stern verändert dabei seine Form, reckt sich den landenden Teilen entgegen,
bekommt vorübergehend larvenähnliche Umrisse und wird schließlich ein Schmetterling.
Dieser bleibt in der Form stabil über einen größeren Bereich, aber er wächst und
fällt schließlich auseinander. Verkoppelt man anders, entstehen auch andere Formen. Das landene Wesen hat hier keine Flügel, sondern ähnelt einer dicken Raupe. Film Raupe (ca. 10 sek.) (Vorschau herunterladen mit Rechtsklick Kurzfilm1 Kurzfilm2 )
optional: Film
Stern ('Landung') mit Apfelmännchen (ca. 51 Sek.)
(siehe
auch Startseiten-Bild auf www.fraktalfilm.de
), oder die vom Apfelmännchen bekannten Doppelspiralen, hier im Flügelmuster,
das aus dem Newtonverfahren stammt
|
Abschnitt 4: Z hoch ZStern
Schädel
Das
gleiche Bild entsteht bei Z = Z^Z* - 1 als Grundgleichung.
Film Schädel (ca. 81Sek.) (Vorschau herunterladen (15MB) mit Rechtsklick)
Abgebildet
als Farbe ist lediglich die Anzahl der Rechnungschleifen, wann wegen zu großen
Zahlen abgebrochen werden musste. Es musste ÜBERALL nach kurzer Zeit (maximal
11 It.) abgebrochen werden. Das genaue Verhalten an jedem Bildpunkt kann nicht
mit Standard-Rechentechnik verfolgt werden, die Zahlen werden zu groß. Nur die
ersten Iterationen kann man verfolgen.
Im großen Schädel links entstehen schnell sehr große negative Zahlen, die durch die Verkopplung entweder etwas schneller (blau) oder etwas langsamer (rot) divergieren. Etwa bei Zx=1/A wird das Cx=-1 kompensiert oder verdoppelt, was bereits klare Unterschiede im Divergenzverhalten bringt, die sich hier als Schädelmuster darstellen. Das additive Cx der Größe Minus Eins ist hier die entscheidende symmetriebrechende Einheit. Setzt man es ganz Null, werden beide 'Hirne' leer und strukturlos. Mehr
Bilder , oder neu
(siehe unten) gerechnet mit der Software UltraFractal.
Sind wir Gottes Bauplan auf der Spur ?
Wir dürfen fragen: Neue
Variante: gemittelte Verkopplung:
|
Das Auge
Z
= Z * (Z*) + C http://www.torkado.de/vorschau/zehnIterat.htm
|
Animiertes Bild für Bild Landung-Stern, ausgewertet Zyklen 1 bis 32 (evtl. Seite neu laden, falls keine Veränderung)

A=0.4
Die
rote Farbe kennzeichnet nicht-zyklisches (ungeordnetes, also letztendlich chaotisches
oder divergentes)
Verhalten (wie außerhalb des Apfelmännchens).
Bild Zyklen im Vergleich zum
Apfelmännchen
Hier das Gleiche mit dem Stern (A=0)